品 名:水楊羥肟酸(同名:水楊氧肟酸)
英文名稱:Salicyl hydroximic acid
主要成份:水楊基羥肟酸(水楊基氧肟酸)
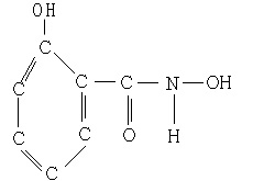
分 子 式:C6H4OHCONHOH
結構式:

性 狀: 產品為粉紅至桔紅色固體粉末,微溶于水,可溶于堿溶液,性質穩定,帶有水楊酸氣味。
主要用途:
水楊羥肟酸能與錫、鎢、稀土、銅、鐵等金屬形成穩定的螯合物,而與堿土金屬及堿金屬形成不穩定的螯合物,所以,水楊羥肟酸具有較好的選擇性。特別是水楊羥肟酸與錫石螯合時不僅能形成多種形式的外絡鹽,而且還能形成不同構成的內絡鹽,因此,水楊羥肟酸對錫的選擇性較強。該品在錫石選礦中通常與P86配套使用,并具有一定的起泡性。該品還具有毒性低(是卞基胂酸的十六分之一,故此品的應用還可以使環保問題得到大大改善)、用藥量少、適用性強等特點,具有較高的推廣應用價值。
規 格:
|
項 目
|
指 標
|
|
水楊基羥(氧)肟酸 % ≥
|
60.0
|
|
有 效 期 (月)
|
24
|
|
包 裝
|
100公斤/鐵桶
|
貯存與運輸:防水、防曝曬、防火。